Pesquisar

Princípio da troncalidade em Portugal e a classe dos descendentes

Spacca

Não se transforma em res derelicta
o patrimônio com a morte do respectivo titular. O contrário produziria, como diz Voirin,
un trouble social: as exigências
da paz social e da continuidade
da vida econômica fazem da
sucessão uma necessidade.”
(Orozimbo Nonato, Do Testamento: conceito e característicos. Direito e Liberdade de Testar)[1]

Desde a vigência do Código Civil, há algumas regras sucessórias que se cristalizaram no Direito brasileiro em termos de sucessão legítima. Para as presentes linhas, duas nos interessam, e ambas dizem respeito à sucessão na classe do descendente.

A primeira diz respeito às hipóteses em que o descendente herda por direito próprio, e a partilha se dá por cabeça.

Dispõe o atual Código Civil:

Art. 1.835. Na linha descendente, os filhos sucedem por cabeça, e os outros descendentes, por cabeça ou por estirpe, conforme se achem ou não no mesmo grau[2].

Isso significa que desde 1916 temos as seguintes situações:

1 – Se o falecido (A) deixar apenas dois filhos[3] (B e C, descendentes de primeiro grau), cada um recebe 50% da herança por direito próprio.

2 – Se o falecido (A) deixar um filho (B, descendente de primeiro grau) e dois netos (D e E, descendentes de 2º grau), filhos do filho pré-morto C, o filho recebe 50% (direito próprio), e cada neto, 25% (partilhando por estirpe).

Nessas duas hipóteses, o Direito brasileiro e o Direito português têm igual solução. Isso porque prevê o Código Civil português que:

“Art. 2014.2. Na sucessão legal, a representação tem sempre lugar, na linha recta, em benefício dos descendentes de filho do autor da sucessão (…)”.

“Art. 2139.2 Se o autor da sucessão não deixar cônjuge sobrevivo, a herança divide-se pelos filhos em partes iguais”.

Contudo, em uma terceira hipótese, a solução brasileira difere da portuguesa. Vamos a ela:

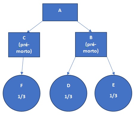
3.1 – Solução brasileira. Se o falecido (A) deixar apenas três netos (D, E e F, todos descendentes de 2º grau), sendo (D) e (E) filhos do filho pré-morto (B) e (F) filho da filha pré-morta (C), cada neto recebe 1/3 da herança, por direito próprio. Isso porque, para o Direito brasileiro, a representação só ocorre se houver diversidade de graus entre os descendentes. Como os netos são igualmente descendentes de 2º grau, herdam quinhão igual, por direito próprio.

3.2 – Solução portuguesa. Se o falecido (A) deixar apenas três netos (D, E e F, descendentes de 2º grau), sendo (D) e (E) filhos do filho pré-morto (B) e (F) filho da filha pré-morta (C), em razão da troncalidade, os netos (D) e (E) recebem, por representação, 25% da herança cada um, e o neto (F), também por representação, recebe 50% da herança.

É o que dispõem os artigos 2044.1 e 2045 do Código Civil português.

“2044.1. Havendo representação, cabe a cada estirpe aquilo em que sucederia o ascendente respectivo (…)

2045. A representação tem lugar, ainda que todos os membros das várias estirpes estejam, relativamente ao autor da sucessão, no mesmo grau de parentesco, ou exista uma só estirpe”.

Nesse exemplo a solução brasileira e portuguesa se afastam.

Sobre a solução brasileira, nota-se que segue a lógica segundo a qual, se todos são netos, ou seja, igualmente descendentes de mesmo grau, não haveria lógica em se atribuir quinhão diferente em razão de serem irmãos ou não, pois isso é indiferente em sua relação de parentesco com o falecido avô. Ninguém é mais ou menos neto do falecido por ter mais ou menos irmãos.

Quanto à solução portuguesa, explicam Pires de Lima e Antunes Varela que o critério é desfavorável às famílias numerosas, mas é mais conforme com a própria natureza, que não obedece nos seus estímulos criadores a critérios de igualdade normativa ou rigidez estética[4].

A grande questão que surge é: qual dos sistemas abandonou a tradição histórica? Qual a razão de um dos países ter abandonado essa tradição?

Assim dispunha o título 96 do Livro 4 das Ordenações:

“E não havendo filhos, dará partição aos netos, ou outros descendentes do defunto ou aos ascendentes, se descendentes não tiver, quando os ascendentes tiverem em igual grau. E estando os ascendentes e, desigual grau herdará o ascendente mais chegado em grau (…)”.

Coelho da Rocha, ao tratar do tema da representação na classe dos descendentes, afirma que, “se concorrem filhos e netos, estes recebem, para subdividir a parte que tocaria a seu pai predefuncto. Da mesma forma, se concorrerem netos e bisnetos, os primeiros recebem a parte que tocaria ao filho que representam e os segundos o que competiria ao neto”[5].

Assim, os filhos sucedem in capita, porém os outros descendentes mais remotos sucedem in stirpes, quer concorram com filhos, quer estejam sós[6].

Em seus comentários ao título 96, pondera Cândido Mendes que os netos, caso concorram com seus tios ou sós, sempre herdarão por estirpes, e não per capita. É a troncalidade que dá título ao presente artigo[7].

A tradição das Ordenações era manter a representação mesmo se todos os descendentes fossem de mesmo grau. Portanto, a regra portuguesa é que segue o sistema histórico.

Teixeira de Freitas, na Consolidação das Leis Civis, afirma que a “legislação pátria é omissa neste ponto, vendo-se unicamente na Ord. Livro 4º, Título 91, §2º a hipótese da concorrência do neto na sucessão do tio morto com o tio vivo, dando-se assim a ideia do — direito de representação — mas negando-se esse direito quando só concorrem netos”[8].

Conclui Teixeira de Freitas que prevalece a regra da representação, ainda que o falecido só deixe netos, por força da Novela 118 de Justiniano, que consagra a troncalidade: “Tantam de hereditate morientes accipientes partem, quanticumque sint, quantam eorunt parens, si viveret habuisset[9].

Explica Teixeira de Freitas, ao comentar a sucessão na classe colateral, que a solução de Azão era a de não haver representação na hipótese de o falecido só deixar sobrinhos, mas a opinião contrária de Accursio prevaleceu: sempre haverá representação, mesmo que o falecido deixe apenas sobrinhos[10].

E porque o Código Civil brasileiro se afastou, então, da tradição histórica da troncalidade?

Explica João Luiz Alves que o projeto Clóvis Beviláqua, no artigo 1.604, mantinha essa regra no qual foi copiado pelo Projeto da Câmara dos Deputados. A opção de Beviláqua foi seguir Teixeira de Freitas, em que pese a divergência da doutrina brasileira na interpretação das Ordenações do Reino.

Era a seguinte a redação do texto projetado por Beviláqua:

“Art. 1772. Na linha descendente, os filhos sucedem por cabeça e os outros descendentes mais afastados por estirpe, quer se achem no mesmo grau, quer em graus diferentes”.

Rompeu-se com a tradição milenar por força de uma emenda do deputado Alfredo Pinto, seguindo sugestão de Coelho Rodrigues.

O próprio Beviláqua esclarece que a regra do artigo 1.604 do CC/16 não tinha correspondência nos projetos de Felício dos Santos (artigo 1.407), no dele (artigo 1.772) e no revisto (artigo 1.939). Na rara obra Projectos do Código Civil brasileiro: Trabalhos da Comissão Especial da Câmara dos Deputados, datada de 1902, em seu volume VI, percebe-se a razão da mudança. Transcrevo o que se passou na 22ª segunda sessão extraordinária ocorrida em 4 de janeiro de 1902[11]:

“O Sr. Alfredo Pinto (pela ordem) vem apenas declarar que a emenda ao artigo 1959 foi sugerida pelo Dr. Coelho Rodrigues. Ela estabelece a igualdade, desde que concorram à herança só os netos do de cujus. A emenda mantém a igualdade na distribuição da herança. Aceitou-a pela justiça da providência que consigna. Posto a votos é aprovado o artigo 1959 com o seguinte aditivo do redator:

Parágrafo único: Quando, porém, concorrerem à herança, do ascendente comum, somente filhos de irmão falecidos, sucederão eles por cabeça e não por direito de representação”.

A alteração de Coelho Rodrigues foi inserida, sem debate, no projeto que a Comissão Especial da Câmara apresentou à mesma[12]. A crítica de Beviláqua é contundente: “O sistema é contrário ao direito romano, à tradição do direito pátrio e à doutrina dos Códigos modernos”[13].

Em suma, apesar das críticas, o sistema brasileiro se afastou da tradição romana e lusitana, parcialmente, com relação à troncalidade. Se houver descendentes de graus diversos (filhos concorrendo com netos do falecido), aplica-se a troncalidade. Se todos os descendentes forem de mesmo grau, prevalece a sucessão por cabeça.

Idêntica regra se aplica à sucessão na classe dos colaterais. Se concorrerem sobrinhos e irmãos do morto (parentes de 3º e 2º grau), prevalece a troncalidade. Se concorrerem apenas sobrinhos (todos colaterais de 3º grau), a sucessão se dá por cabeça, e o Código Civil se afasta da tradição histórica.

É a partir das leituras históricas que se compreende efetivamente o sistema jurídico, suas opções, virtudes e vicissitudes.


[1] Obra ganha do amigo Zeno Veloso em outubro de 2017, edição de 1932, inteiramente anotada, muito provavelmente pelo próprio Orozimbo Nonato. O livro foi doado a Zeno Veloso por Dona Antonieta, mulher do falecido autor.
[2] Regra idêntica à contida no Código Civil de 1916: “Art. 1.604. Na linha descendente, os filhos sucedem por cabeça, e os outros descendentes, por cabeça ou por estirpe, conforme se achem, ou não, no mesmo grau”.
[3] Todos os exemplos supõem que o falecido não tem cônjuge ou companheiro.
[4] Pires de Lima e Antunes Varela, Código Civil anotado, v. VI, p. 234.
[5] Instituições de Direito Civil português, tomo 1, Garnier, Rio de Janeiro, 1907, p. 231.
[6] Coelho da Rocha, op. cit., p. 231.
[7] Página 954 da edição fac-similar do Senado.
[8] “São tantas as partes dos que adquirem hereditariamente por morte sejam eles quantos forem, quanto parentes eles teriam se os parentes fossem vivos.” Nota 8 em comentário ao artigo 960, parágrafo 2º da Consolidação das Leis Civis, p. 560.
[9] Nota 8 em comentário ao artigo 960, parágrafo 2º da Consolidação das Leis Civis, p. 560.
[10] Nota 17 em comentário ao artigo 967, parágrafo 2º da Consolidação das Leis Civis, p. 573.
[11] Ver pg. 539.
[12] Código Civil comentado, volume 6, p. 48.
[13] Código Civil comentado, volume 6, p. 49.

José Fernando Simão

é professor associado do departamento de Direito Civil da Faculdade de Direito da USP, livre-docente, doutor e mestre em Direito Civil pela mesma faculdade, diretor do IBDCONT e vice-presidente do IBDFAMSP.

Seja o primeiro a comentar.

Você precisa estar logado para enviar um comentário.

Leia também

Não há publicações relacionadas.